- 细胞类
- 生化试剂
- ELISA检测
-
抗体蛋白
二抗生物素标记 过氧化物酶(HRP)标记 胶体金试剂 FITC荧光标记 RBITC荧光标记 二抗免疫血清 其它荧光标记二抗 藻红蛋白(PE)荧光标记 胶体金(Gold)标记 SAlexa Fluor荧光系列 碱性磷酸酶(AP)标记 别藻蓝蛋白(APC)荧光标记 其它标记 PE标记二抗 DyLight标记二抗 AU标记二抗 Biotin标记二抗 AMCA标记二抗 Texas Red标记二抗 TRITC标记二抗 HRP标记二抗 未标记二抗 Cy标记二抗 AbBox Fluor标记二抗内参抗体 小分子抗体抗体标记试剂盒细菌抗体蛋白病毒包装试剂杂交瘤融合筛选WB、IHC、ELISA相关试剂细胞培养试剂病原微生物抗原抗体假病毒抗体校准品其他抗原抗体标记的标签抗体病理级IHC抗体重组蛋白
- 细胞培养
- 实验耗材
- 仪器设备
- 生化试剂盒
- 小分子试剂
- 基质胶
-
斑马鱼产品
订货时间:周一至周五
订货Q Q:79688691
订货邮件:79688691@qq.com
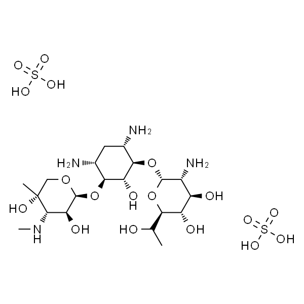
基本信息-
别名Geneticin
-
英文名称G-418 sulfate
-
CAS108321-42-2
-
分子式C₂₀H₄₀N₄O₁₀·2H₂SO₄
-
分子量692.71
-
外观(性状)白色粉末
-
级别Biotechnology Grade
-
溶解性1 mg/mL in water
产品介绍溶解性:可溶于水、甲醇、缓冲液和培养基。
说明:真核表达筛选用抗生素,可以用于筛选表达特定抗性基因的稳定细胞株。筛选哺乳动物细胞,推荐起始筛选浓度为400微克/毫升;筛选植物细胞,推荐起始筛选浓度为10微克/毫升;筛选酵母,推荐起始浓度为500微克/毫升。根据起始浓度的效果可以再适当升高或降低G-418的使用浓度。
特性:溶解后,0.22μm过滤除菌,分成小包装,4℃可保存12个月,-20℃保存时间更长。最常用的储存液使用100mMHEPES(pH7.3)配制,浓度为50mg/ml。使用HEPES配制的好处是: 加入储存液不会改变培养体系的pH值。
描述:G418是一种氨基糖苷类抗生素 ,这种氨基糖类抗生素的结构和新霉素、庆大霉素、卡那霉素相似,在分子遗传试验中,是稳定转染最常用的抗性筛选试剂。它通过抑制转座子Tn601,Tn5的基因,干扰核糖体功能而阻断蛋白质合成,对原核和真核等细胞产生毒素 ,包括细菌、酵母、植物和哺乳动物细胞 ,也包括原生动物和蠕虫。当neo基因被整合进真核细胞DNA后 ,则能启动neo基因编码的序列转录为mRNA ,从而获得抗性产物氨基糖苷磷酸转移酶的高效表达 ,使细胞获得抗性而能在含有 G418的选择性培养基中生长
用途:靠干扰核糖体功能阻断多肽合成。不是常用的标准抗生素,常用于选择新霉素抗药基因转染的原核和真核细胞。在基因转移、基因敲除、抗性筛选以及转基因动物等方面得以广泛应用
储存与保存1.保存:2-8℃
2.有效期:3年
注意事项1.本产品仅供科研使用。请勿用于医药、临床诊断或治疗,食品及化妆品等用途。请勿存放于普通住宅区。
2.为了您的安全和健康,请穿好实验服并佩戴一次性手套和口罩操作。
3.实验结果可由多种因素影响,相关处理只限于产品本身,不涉及其他赔偿。
备注:由于产品信息可能会有优化升级,请以实际收货标签信息为准。









